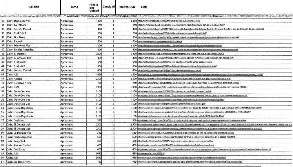
An international investigation based on leaked documents revealed a disinformation operation launched from Russia to affect the government of Javier Milei. According to the records, the maneuver would have consisted of the systematic publication of critical content in Argentine media, with the objective of influencing public opinion and favoring the
left.Among the sites mentioned are C5N, Ámbito, Diario Con Vos, El Destape, Big Bang News, Registered Diario, A24, Dos Bases, Realpolitik, Argentine Politics, Argentine Time, Grito del Sur, El Cronista, Infocielo, Data Clave, Urban Agenda, Agro Citizen, Contrast MDP and In the Sight of Power, among others. These are platforms with diverse editorial profiles, but which, according to the research, would have been used as channels to insert articles critical of the ruling party
.
According to the documentation analyzed, the network —internally referred to as “The Company” —would have budgeted about US$ 283,000 to disseminate at least 250 publications between June and October 2024. However, the report clarifies that it could not verify whether these payments were actually made or who the direct recipients were: media, journalists or
intermediaries.The mechanism wasn't limited to sending content. In many cases, the articles would have been introduced through third parties, presented as press agencies or consulting firms, which facilitated their publication without strict editorial controls. Several of the actors themselves consulted in the investigation stated that this type of material was published with “little prior verification”.
One of the strongest elements of the case is the use of fictitious authors to sign the notes. The clearest example is Gabriel Di Taranto, who appears in multiple articles published in different media. He was presented as a specialist with academic training at the National University of Avellaneda, but the institution denied his existence. In addition, its image would have been generated with artificial intelligence, confirming the use of false identities to give credibility to the contents









